第九讲 基本概念、顺序、折半、分块查找法、B/B+树
- 查找的基本概念
(1) 平均查找长度 ASL = 每个元素 查找概率 * 找到第i个元素需要进行的比较次数 的和。
(2) 决策树(判定树) - 顺序查找法
(1) 一般线性表的顺序查找
(2) 有序表的顺序查找a. 若每个元素查找概率相同,则 ASL(成功) = (1 + 2 + ... + n) / n = (n + 1) / 2 b. ASL(失败) = n或n+1,取决于代码写法。a. 若每个元素查找概率相同,则 ASL(成功) = (1 + 2 + ... + n) / n = (n + 1) / 2 b. ASL(失败) = (1 + 2 + ... + n + n) / (n + 1) = n / 2 + n / (n + 1) - 折半查找法
(1) ASL(成功) = log(n + 1) - 1 - 分块查找法
设共n个元素,每块s个元素,共b = n / s块。块内无序,块间有序。
(1) 顺序查找确定块:ASL(成功) = (s^2 + 2s + n) / (2s),s = sqrt(n)时取最小值
(2) 二分查找确定块:log(n/s + 1) + (s - 1)/2
详细的概念知识和查找代码实现参考王道P257。
平均查找长度 ASL = 每个元素 查找概率 * 找到第i个元素需要进行的比较次数 的和。
一般认为每个元素 查找概率相等,为1/n。
平均查找长度 ASL分为两种,ASL(成功)和ASL(失败)。
ASL(失败)中每个元素在一个区间查找失败的概率就是1/(n+1),n+1是区间的个数。

顺序(线性)查找
1.一般线性表的顺序查找
查找成功的ASL如下图:

ASL(失败) = n或n+1。
查找失败也就是一直往右走的分支,需要比较n次,有的教材(王道等)写的是n+1次,取决于代码写法,按照王道的写法就是n+1次,不用纠结,考试不会为难。
下面附上王道的伪代码写法:
1 | int search_Seq(int ST[],int key){ |
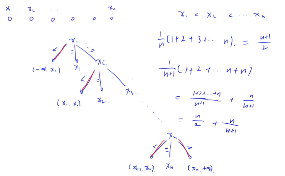
2.有序表的顺序查找
判定树如下图所示:

ASL(成功) = (1 + 2 + … + n) / n = (n + 1) / 2,查找成功对应每个取等号的分支。
ASL(失败) = (1 + 2 + … + n + n) / (n + 1) = n / 2 + n / (n + 1),查找失败对应红色的分支,n个节点有n+1个失败分支,括号里的是每个失败分支的比较次数,第n个和第n+1个失败分支的比较次数都是n次。
折半(二分)查找
注意区别笔试的二分写法和机试的二分写法!
折半查找的分界点有下取整和上取整两种方式。
按王道教材写法,每次比较分了三种情况。
下面附上王道的伪代码写法:
1 | int binary_Search(int L[],int key){ |
判定树如下图所示:

容易发现二分查找的判定树就是一棵平衡的二叉排序树,中序序列有序。
ASL(成功) = log(n + 1) - 1。(近似结论)
如果有像上图的具体示例,ASL(成功)可以直接算出来。
这里ASL的计算看王道P261描述得更准确。
分块(索引顺序)查找
将查找表分为若干子块,块内元素无序,块间元素有序。
设共n个元素,每块s个元素,共b = n / s块。块内无序,块间有序。
(1) 顺序查找确定块:ASL(成功) = (s^2 + 2s + n) / (2s),s = sqrt(n)时取最小值
(2) 二分查找确定块:log(n/s + 1) + (s - 1)/2
顺序查找:先确定在哪块(有序表的顺序查找),然后块内查找(一般线性表的顺序查找)。
两步的ASL(成功)都是(n+1)/2。所以整体:ASL(成功) = (b+1)/2 + (s+1)/2 = (s^2 + 2s + n) / (2s)。

二分查找:先确定在哪块(二分查找),然后块内查找(一般线性表的顺序查找)。
整体:ASL(成功) = log(b+1)-1 + (s+1)/2 = log(n/s + 1) + (s - 1)/2。
B/B+树
1 | B树及其基本操作、B+树及其基本概念 |
B/B+树在算法中不常用到,主要在操作系统,数据库等地方的查找用到。
邓俊辉数据结构:B树;数据结构与算法之美专栏;王道教材P270。
邓老师的讲解是很不错的!y总的讲解也很精彩!
408考研重在考察B树,对B+树只考察基本概念。
B/B+树是对BST(二叉搜索树)的拓展。
对于B/B+树的定义最好以王道为准,不同地方定义不同。
B树也称B-树(这不是减号),它是一颗所有节点的平衡因子均等于0的多路平衡查找树。我们描述一颗B树时需要指定它的阶数,阶数表示了一个结点最多有多少个孩子结点,一般用字母m表示阶数。当m取2时,就是我们常见的二叉搜索树。
B树图示:

上图中,灰色的节点称为内部节点,最底层的叶子节点(上图没画出来)称为外部节点。
y总图解:

上图中B+树相比B树还会将在最底层的叶子节点通过链表串联起来,方便查找。
B+树比B树的局部性更好,也就是说在B+树中,几个连续节点存放的位置也是连续的。
以[x1-1,x1,x1+1]为例,B树需要在下层查找2次,上层查找1次;而B+树只需要在下层查找2次。
B 树实际上是低级版的 B+ 树,或者说 B+ 树是 B 树的改进版。
B 树跟 B+ 树的不同点主要集中在这几个地方:B+ 树中的节点不存储数据,只是索引,而 B 树中的节点存储数据;B 树中的叶子节点并不需要链表来串联。
B树的相关操作:
B树查找,类似折半查找。
B树插入
插入操作是指插入一条记录,即(key, value)的键值对。如果B树中已存在需要插入的键值对,则用需要插入的value替换旧的value。若B树不存在这个key,则一定是在叶子结点中进行插入操作。
1)根据要插入的key的值,找到叶子结点并插入。
2)判断当前结点key的个数是否小于等于m-1,若满足则结束,否则进行第3步。
3)以结点中间的key为中心分裂成左右两部分,然后将这个中间的key插入到父结点中,这个key的左子树指向分裂后的左半部分,这个key的右子支指向分裂后的右半部分,然后将当前结点指向父结点,继续进行第3步。
看上面第一篇博客模拟一遍就会了,或者参考王道P272页。画图注意下箭头指向的位置。
B树删除
删除操作要比插入复杂一点。
删除操作是指,根据key删除记录,如果B树中的记录中不存对应key的记录,则删除失败。
1)如果当前需要删除的key位于非叶子结点上,则用后继key(这里的后继key均指后继记录的意思)覆盖要删除的key,然后在后继key所在的子支中删除该后继key。此时后继key一定位于叶子结点上,这个过程和二叉搜索树删除结点的方式类似。删除这个记录后执行第2步
2)该结点key个数大于等于ceil(m/2)-1,结束删除操作,否则执行第3步。
3)如果兄弟结点key个数大于ceil(m/2)-1,则父结点中的key下移到该结点,兄弟结点中的一个key上移,删除操作结束。
否则,将父结点中的key下移与当前结点及它的兄弟结点中的key合并,形成一个新的结点。原父结点中的key的两个孩子指针就变成了一个孩子指针,指向这个新结点。然后当前结点的指针指向父结点,重复上第2步。
有些结点它可能即有左兄弟,又有右兄弟,那么我们任意选择一个兄弟结点进行操作即可。
B+树
1 | [1] m阶B+树,每个节点最多有m个孩子。 |
B+树的操作与B树类似,只是查找操作稍有区别。
拓展内容,B/B+树的实际应用:
为了节省内存,如果把树存储在硬盘中,那么每个节点的读取(或者访问),都对应一次磁盘 IO 操作。树的高度就等于每次查询数据时磁盘 IO 操作的次数。
比起内存读写操作,磁盘 IO 操作非常耗时,所以我们优化的重点就是尽量减少磁盘 IO 操作,也就是,尽量降低树的高度。
想要进一步了解B树在操作系统的应用可以参考《算法导论》第五章高级数据结构。
v1.5.2