算法基础课笔记(三)

高精度减法:

例题:acwing.792. 高精度减法(模板题)

1
2
3
4
5
6
7
8
9
10
11
12
13
14
15
给定两个正整数,计算它们的差,计算结果可能为负数。

输入格式
共两行,每行包含一个整数。

输出格式
共一行,包含所求的差。

数据范围
1≤整数长度≤10^5
输入样例:
32
11
输出样例:
21

首先复习一下整数的笔算减法。

然后用数组来模拟笔算的过程。

1
2
3
4
 1 2 3
- 8 9
--------
3 4

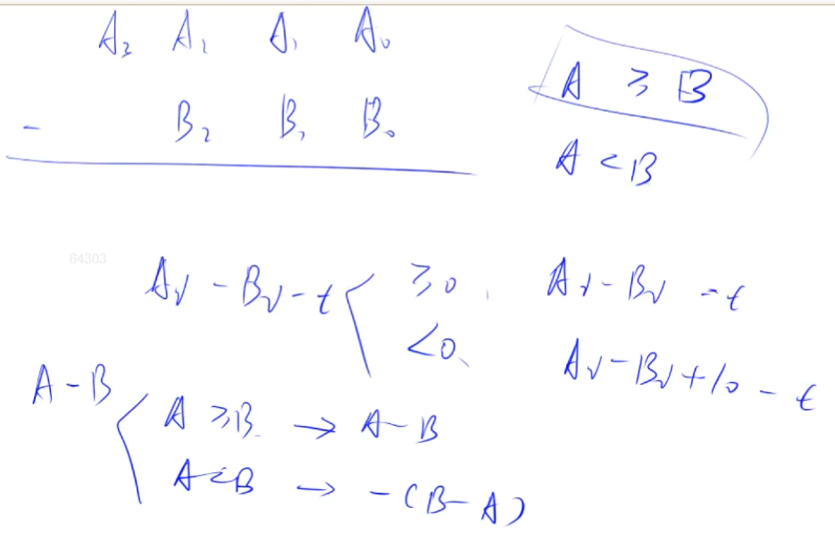
对于A和B的每一位的减法计算,实际上是三个数Ai、Bi和t(借位)的差。

image-20210725185441637

y总代码。

1
2
3
4
5
6
7
8
9
10
11
12
13
14
15
16
17
18
19
20
21
22
23
24
25
26
27
28
29
30
31
32
33
34
35
36
37
38
39
40
41
42
43
44
45
46
47
48
49
50
#include <cstdio>
#include <string>
#include <iostream>
#include <vector>
using namespace std;

// 判断是否有 A >= B,A和B是反着存的,不能用string比较
bool cmp(vector<int> &A,vector<int> &B){
if (A.size() != B.size()) return A.size() > B.size();
// 从高位开始逐位判断
for (int i = A.size()-1;i >= 0;i--){
if (A[i] != B[i]) return A[i] > B[i];
}
return true;
}
// C = A - B,A和B都是正整数,保证了 A >= B
vector<int> sub(vector<int> &A,vector<int> &B){
vector<int> C;
for (int i = 0,t = 0;i < A.size();i++){
t = A[i] - t;
if (i < B.size()) t -= B[i];// B的位数<=A的位数,需要判断是否存在
C.push_back((t + 10) % 10);// 统一处理Ai-Bi-t大于等于0小于0的两种情况
if (t < 0) t = 1;// <0借一位
else t = 0;// 否则不借位
}
// 需要处理前导零,C至少是2位才可能出现前导零
while (C.size() > 1 && C.back() == 0) C.pop_back();
return C;
}

int main(){
string a,b;
vector<int> A,B;

cin >> a >> b;
for (int i = a.size()-1;i >= 0;i--) A.push_back(a[i] - '0');
for (int i = b.size()-1;i >= 0;i--) B.push_back(b[i] - '0');

vector<int> C;
if (cmp(A,B)){
C = sub(A,B);
}
else{
C = sub(B,A);
printf("-");
}
for (int i = C.size()-1;i >= 0;i--) printf("%d",C[i]);

return 0;
}

高精度乘法:

例题:acwing.793. 高精度乘法(模板题)

1
2
3
4
5
6
7
8
9
10
11
12
13
14
15
16
给定两个正整数 A 和 B,请你计算 A×B 的值。

输入格式
共两行,第一行包含整数 A,第二行包含整数 B。

输出格式
共一行,包含 A×B 的值。

数据范围
1≤A的长度≤100000,
0≤B≤10000
输入样例:
2
3
输出样例:
6

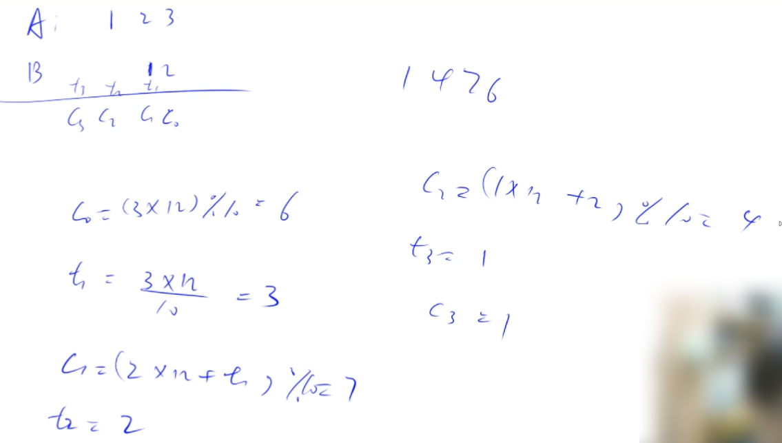
高精度乘法:大数A和小数b(位数小)运算。

把a看作一个整体,用A的每一位与b作乘法运算,得到C的每一位,最终结果就是答案。

image-20210802155223366

高精度乘法和高精度加法类似。

y总代码。

1
2
3
4
5
6
7
8
9
10
11
12
13
14
15
16
17
18
19
20
21
22
23
24
25
26
27
28
29
30
#include <cstdio>
#include <vector>
#include <string>
#include <iostream>
using namespace std;
// C = A * b,A >= 0,b >= 0
vector<int> mul(vector<int> &A,int b){
vector<int> C;
for (int i = 0,t = 0;i < A.size() || t;i++){
// 循环退出条件相比加法多了|| t,就不用额外判断最后的进位
t += A[i]*b; // 理论上最好加上 if (i < A.size()) 判断,但是C++对数组越界检查不严格
C.push_back(t % 10);
t /= 10;
}
// 去除前导零
while (C.size() > 1 && C.back() == 0) C.pop_back();
return C;
}

int main(){
vector<int> A;
int b;
string a;

cin >> a >> b;
for (int i = a.size()-1;i >= 0;i--) A.push_back(a[i] - '0');
auto C = mul(A,b);
for (int i = C.size()-1;i >= 0;i--) printf("%d",C[i]);
return 0;
}

高精度除法:

例题:acwing.794. 高精度除法(模板题)

1
2
3
4
5
6
7
8
9
10
11
12
13
14
15
16
17
18
给定两个非负整数 A,B,请你计算 A/B 的商和余数。

输入格式
共两行,第一行包含整数 A,第二行包含整数 B。

输出格式
共两行,第一行输出所求的商,第二行输出所求余数。

数据范围
1≤A的长度≤100000,
1≤B≤10000,
B 一定不为 0
输入样例:
7
2
输出样例:
3
1

高精度除法相对要复杂一点。

大数A和小数b(位数小)运算。

先回顾一下笔算除法。

image-20210802164237118

y总代码。

1
2
3
4
5
6
7
8
9
10
11
12
13
14
15
16
17
18
19
20
21
22
23
24
25
26
27
28
29
30
31
32
33
34
35
36
37
#include <cstdio>
#include <vector>
#include <string>
#include <iostream>
#include <algorithm>
using namespace std;
// A / b = C ... r,A >= 0,b > 0
vector<int> div(vector<int> &A,int b,int &r){
vector<int> C;
// 注意:除法是从高位开始计算的,和加减乘法不一样
for (int i = A.size()-1;i >= 0;i--){
r = r*10 + A[i];
C.push_back(r / b);
r %= b;
}
reverse(C.begin(),C.end());// 计算得到的商是正着的,需要翻转一下低位从0开始
// 因为C++的vector只能从back插入删除
// 去除前导零
while (C.size() > 1 && C.back() == 0) C.pop_back();
return C;
}

int main(){
vector<int> A;
int b;
string a;

cin >> a >> b;
for (int i = a.size()-1;i >= 0;i--) A.push_back(a[i] - '0');

int r = 0;
auto C = div(A,b,r);
for (int i = C.size()-1;i >= 0;i--) printf("%d",C[i]);
puts("");
printf("%d",r);
return 0;
}
坚持原创技术分享,您的支持将鼓励我继续创作!