第十二讲 桶排序、基数排序、外部排序
- 桶排序
(1) 时间复杂度
(2) 空间复杂度a. 最好情况:O(n + m) b. 平均情况:O(n + m) c. 最坏情况:O(n + m)
(3) 稳定O(n + m) - 基数排序
(1) 时间复杂度
(2) 空间复杂度a. 最好情况:O(d(n + r)) b. 平均情况:O(d(n + r)) c. 最坏情况:O(d(n + r))
(3) 稳定O(n + r)
排序算法分类
常见的排序算法一般分为以下两种:
(1)比较类排序
(2)非比较类排序
前面提到过的排序算法都是基于比较的排序算法。
比较类排序指将待排序的元素两两比较,满足一定条件时交换位置,直到排序完成为止。而非比较类排序则不涉及元素之间的比较,而是将元素按照一定类别分类,最后将不同的类别按大小顺序接在一起以完成排序。
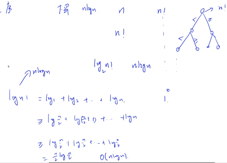
可以证明没有比nlogn更快的比较类排序算法。即,比较类排序的时间复杂度下限为nlogn。
参考文章: https://zhuanlan.zhihu.com/p/387612122。

对一个长度为N的数组,其中元素共有N!种不同的组合形式。排序结束情况为其中一种。
由于基于比较的排序需要在两个元素a,b之间进行比较。每一次比较只有a>b或a<b两种可能性。比较完一次可过滤掉一半的错误可能。即为1/2*N!种可能性。
每经过一次比较即可再过滤掉一半可能性。假设经过k次比较,得到了唯一的最终答案。

上下一夹逼就能证明比较类排序的时间复杂度下限为nlogn。
* Bucket Sort(桶排序)& Counting Sort(计数排序)
注:考研408数据结构不涉及桶排序和计数排序。
Bucket Sort(桶排序)
适用于待排序数据值域较大但分布比较均匀的情况。
将值为i的元素放入i号桶,最后依次把桶里的元素倒出来。
算法思想:
- 设置一个定量的数组当作空桶子。
- 寻访序列,并且把项目一个一个放到对应的桶子去。
- 对每个不是空的桶子进行排序。
- 从不是空的桶子里把项目再放回原来的序列中。

如果使用稳定的内层排序,并且将元素插入桶中时不改变元素间的相对顺序,那么桶排序就是一种稳定的排序算法。
由于每块元素不多,一般使用插入排序。此时桶排序是一种稳定的排序算法。
时间复杂度:
最好 — O(n+k)
最坏 — O(n^2)
平均 — O(n+k)
注: 其中k=nlog(n/m)
代码实现:
题目链接:https://www.acwing.com/problem/content/description/787/。
参考文章: https://www.acwing.com/blog/content/8989/。
1 | // 样例通过:11/13 |
Counting Sort(计数排序)
计数排序本质上是一种特殊的桶排序,当桶的个数最大的时候,就是计数排序。
计数排序基于一个假设,待排序数列的所有数均为整数,且出现在(0,k)的区间之内。
如果 k(待排数组的最大值) 过大则会引起较大的空间复杂度,一般是用来排序 0 到 100 之间的数字的最好的算法,但是它不适合按字母顺序排序人名。
算法思想:
- 找出待排序的数组中最大和最小的元素;
- 统计数组中每个值为 i 的元素出现的次数,存入数组 C 的第 i 项;
- 对所有的计数累加(从 C 中的第一个元素开始,每一项和前一项相加);
- 向填充目标数组:将每个元素 i 放在新数组的第 C[i] 项,每放一个元素就将 C[i] 减去 1。


对于每个ai最终的排位,我们可以直接计算出来,而不需要比较。
它的排序取决于小于ai的元素个数,加上初始时在ai左边且等于ai的元素个数。
小于ai的元素个数可以通过计算桶中元素的前缀和快速求出来。
如果有重复元素如何计算?(Sx 表示 <= x 的元素的个数)
我们先考虑重复元素中在初始时位置最靠后的元素 x(以上图为例),
它的最终排位应该是S{x-1} + 3 = Sx - 1。
然后再看倒数第二个x, 它的最终排位应该是S{x-1} + 2 = Sx - 2。
时间复杂度:O(n+m),n为元素个数,m为桶个数。
代码实现:
题目链接:https://www.acwing.com/problem/content/description/787/。
y总的计数排序写法。
1 | // 样例通过:10/13 |
Radix Sort(基数排序)
一种非比较型的排序算法,最早用于解决卡片排序的问题。
一种多关键字的排序算法,可用桶排序实现。
算法思想:
- 取得数组中的最大数,并取得位数;
- arr为原始数组,从最低位开始取每个位组成radix数组;
- 对radix进行计数排序(利用计数排序适用于小范围数的特点)

代码实现:
题目链接:https://www.acwing.com/problem/content/description/787/。
基数排序,基数指的是进制中的基数。
将要排序的十进制元素转化为r进制数组,对数组的每一位按多关键字排序。
对于每个关键字,位数不超过d位,范围是0~r-1,所以可以利用计数排序将时间复杂度控制到线性。
实现多关键字排序通常有两种方法:
- 最高位优先法(MSD):优先比较高位,需要递归处理
- 最低位优先法(LSD):优先比较低位
1 | // AC,样例通过:13/13 |
时间复杂度:O(d*(n+r))。原始数组每个元素转化为r进制数后最多有d位。
空间复杂度:O(r)(王道写法)。需要r个桶加上排名数组的辅助空间,实际上是O(n+r)。
由于计数排序是稳定排序,所以基数排序也是稳定排序。
外部排序算法
(1) 置换选择排序
(2) 归并排序
a. 胜者树
b. 败者树
c. huffman树
前面介绍过的排序算法都属于内部排序算法,是在内存中进行的。
在许多应用中需要对大文件进行排序,用到外部排序算法,在外存中进行。
大文件无法整个复制进内存中排序,所以需要将数据部分调入内存排序,整个过程中需要多次进行内存和外存间的交换。
内部排序算法的时间瓶颈主要在比较次数,而外部排序算法的时间瓶颈主要在读写磁盘次数。
外部排序常用归并排序算法。

对m个有序序列执行k-路归并,总共需要$O(log_k m)$轮排序。
针对两种效率改进思路,我们有两类算法。
置换选择排序
参考视频: https://www.bilibili.com/video/BV1b7411N798?p=89。(王道数据结构,很清楚)
置换选择排序,用于生成初始归并段,就是减少m的策略。
减少归并段的数量,也就是延长每个归并段的长度。


置换选择排序选择MINIMAX记录可以用堆或者败者树维护。
胜者树与败者树
参考文章: https://blog.csdn.net/whz_zb/article/details/7425152。
参考视频: https://www.bilibili.com/video/BV1b7411N798?p=88。(王道数据结构)
胜者树和败者树都是完全二叉树,是树形选择排序(锦标赛排序)的一种变型。每个叶子结点相当于一个选手,每个中间结点相当于一场比赛,每一层相当于一轮比赛。
不同的是,胜者树的中间结点记录的是胜者的标号;而败者树的中间结点记录的败者的标号。
胜者树与败者树可以在log(n)的时间内找到最值。任何一个叶子结点的值改变后,利用中间结点的信息,还是能够快速地找到最值。在k路归并排序中经常用到。
堆也是完全二叉树。可以发现胜者树与败者树也满足堆的性质。
如果采用堆来维护最小值,输出当前最小值后,需要将堆尾移到堆顶然后执行down操作,再将新增元素插入堆尾然后执行up操作。
如果采用胜者树来维护最小值,输出当前最小值(胜者)后,只需要将新增元素取代当前最小值的位置,然后执行up操作(进行比赛直到选出冠军)。
两者对比,堆需要一轮down+up操作,胜者树需要一轮up操作。(败者树也只需要一轮up操作)
胜者树:
注:王道数据结构并未提到胜者树,408应该也不会考察,直接掌握败者树就行。

胜者树在选出新一轮胜者时,需要将新增元素执行up操作,不仅需要访问本轮胜者的路径上所有节点,还要和它们的兄弟节点比较。
比如上图中的13是新增元素,13需要和兄弟12比较,12胜出后还需要和15比较。
败者树:

败者树是对胜者树的进一步改进。它可以避免访问路径上的节点的兄弟节点,只需要和路径上所有节点比较。
败者树简化了重构。败者树的重构只是与该结点的父结点的记录有关,而胜者树的重构还与该结点的兄弟结点有关。败者树将胜者树选出新胜者的访问节点次数减少到一半,常数级优化。
上图的败者树中的非叶节点记录的是归并段的编号。
对于k-路归并,利用败者树归并k个归并段,选出最小元素需要的比较次数为:最多$\lceil log_2 k \rceil$次。

最佳归并树
其实也就是多叉哈夫曼树。
参考《考研算法辅导课笔记(七)》———荷马史诗。
由二进制编码扩展到k进制编码。
构造方式:由每次选择最小的2个节点扩展到每次选择最小的k个节点。
如果剩下节点数量不足k个,不足的补0。
节点个数不够如何补0?
注意到,每次我们都是取k个数,但在最后一次取的时候,可能已经不足k个数可取了,所以不妨在算法的开始,我们就先取掉x个数(补上k-x个 0),使得剩下的n-x个数正好能每次取k个取完。
怎么求 x ?
不妨设补上 x 个节点之后就可以构成一棵 k 叉哈夫曼树。
设 k 度节点个数为 t ,叶子节点(已有节点+补上的节点)个数为 m,已有节点个数为 n 。
建立方程:k*t + 1 = 总节点数; m = n + x; t + m = 总节点数
联立解得:(k-1)*t = n-1+x,等价于x = (n-1) % (k-1)。
概念补充:
最佳归并树中将补充的零节点称为虚段。
考试要求计算虚段个数。