LeetCode链表专题练习

专题学习路线参考: https://github.com/acm-clan/algorithm-stone。

本专题学习路线参考: https://github.com/acm-clan/algorithm-stone。

LeetCode题型总结: https://www.acwing.com/blog/content/4474/。

LeetCode题解参考:代码随想录和宫水三叶的刷题笔记。

本篇是LeetCode专题的第一篇:链表专题练习。

专题学习路线图:

https://raw.githubusercontent.com/acm-clan/algorithm-stone/main/images/leetcode_linked_list.svg。

T1—-707. 设计链表

1
2
3
4
5
6
7
8
9
10
11
12
13
14
15
16
设计链表的实现。您可以选择使用单链表或双链表。单链表中的节点应该具有两个属性:val 和 next。val 是当前节点的值,next 是指向下一个节点的指针/引用。如果要使用双向链表,则还需要一个属性 prev 以指示链表中的上一个节点。假设链表中的所有节点都是 0-index 的。
在链表类中实现这些功能:
get(index):获取链表中第 index 个节点的值。如果索引无效,则返回-1
addAtHead(val):在链表的第一个元素之前添加一个值为 val 的节点。插入后,新节点将成为链表的第一个节点。
addAtTail(val):将值为 val 的节点追加到链表的最后一个元素。
addAtIndex(index,val):在链表中的第 index 个节点之前添加值为 val  的节点。如果 index 等于链表的长度,则该节点将附加到链表的末尾。如果 index 大于链表长度,则不会插入节点。如果index小于0,则在头部插入节点。
deleteAtIndex(index):如果索引 index 有效,则删除链表中的第 index 个节点。
 
示例:
MyLinkedList linkedList = new MyLinkedList();
linkedList.addAtHead(1);
linkedList.addAtTail(3);
linkedList.addAtIndex(1,2); //链表变为1-> 2-> 3
linkedList.get(1); //返回2
linkedList.deleteAtIndex(1); //现在链表是1-> 3
linkedList.get(1); //返回3

1.设计单链表

1
2
3
4
5
6
7
8
9
10
11
12
13
14
15
16
17
18
19
20
21
22
23
24
25
26
27
28
29
30
31
32
33
34
35
36
37
38
39
40
41
42
43
44
45
46
47
48
49
50
51
52
53
54
55
56
57
58
59
60
61
62
63
64
65
66
67
68
class MyLinkedList {
public:
int size;
struct ListNode{
int val;
ListNode * next;

ListNode(int _val): val(_val),next(nullptr){}
}* head;

MyLinkedList() {
head = new ListNode(0);
size = 0;
}

int get(int index) {
if (index < 0 || index >= size) return -1;

auto p = head->next; // p赋值为首节点
while (index --){ // inde = 0也能处理,如果--index就会死循环
p = p->next;
}
return p->val;
}

void addAtHead(int val) {
auto t = new ListNode(val);
t->next = head->next;
head->next = t;
size ++;
}

void addAtTail(int val) {
auto p = head;
while (p->next) p = p->next;

auto t = new ListNode(val);
p->next = t;
size ++;
}

void addAtIndex(int index, int val) {
if (index > size) return;
else if (index <= 0) addAtHead(val);
else{
auto t = new ListNode(val);
auto p = head;
while (index --){
p = p->next;
}
t->next = p->next;
p->next = t;
}
size ++;
}

void deleteAtIndex(int index) {
if (index < 0 || index >= size) return;
auto p = head;
while (index--){
p = p->next;
}
auto t = p->next;
p->next = p->next->next;
delete t;
size --;
}
};

2.设计双链表

1
2
3
4
5
6
7
8
9
10
11
12
13
14
15
16
17
18
19
20
21
22
23
24
25
26
27
28
29
30
31
32
33
34
35
36
37
38
39
40
41
42
43
44
45
46
47
48
49
50
51
52
53
54
55
56
57
58
59
60
61
62
63
64
65
66
67
68
69
70
71
72
73
74
75
76
77
78
79
80
81
class MyLinkedList {
private:
int size;
struct ListNode{
int val;
ListNode *next,*prev;

ListNode(int _val): val(_val),next(nullptr),prev(nullptr){}
};
ListNode *head,*tail;

public:
MyLinkedList() {
size = 0;
head = tail = new ListNode(0);
head->next = tail,tail->prev = head;
}

int get(int index) {
if (index < 0 || index >= size) return -1;

auto p = head->next;
while (index --){
p = p->next;
}
return p->val;
}

void addAtHead(int val) {
auto t = new ListNode(val);
t->next = head->next;
t->prev = head;
head->next->prev = t;
head->next = t;

size ++;
}

void addAtTail(int val) {
auto t = new ListNode(val);
t->next = tail;
t->prev = tail->prev;
tail->prev->next = t;
tail->prev = t;

size ++;
}

void addAtIndex(int index, int val) {
if (index > size) return;
else if (index <= 0) addAtHead(val);
else{
auto p = head;
auto t = new ListNode(val);
while (index --){
p = p->next;
}
t->next = p->next;
t->prev = p;
p->next->prev = t;
p->next = t;
}

size ++;
}

void deleteAtIndex(int index) {
if (index < 0 || index >= size) return;

auto p = head;
while (index --){
p = p->next;
}
auto t = p->next;
p->next = t->next;
t->next->prev = p;
delete t;

size --;
}
}

T2—-234. 回文链表

image-20220204204457634

提示:

链表中节点数目在范围[1, 10^5] 内

0 <= Node.val <= 9

进阶:你能否用 O(n) 时间复杂度和 O(1) 空间复杂度解决此题?


本题的思路有很多种,常见的做法有:复制到数组然后双指针扫描判断回文,快慢指针,折半翻转链表。

1
2
3
4
5
6
7
8
9
10
11
12
13
14
15
16
17
18
19
20
21
22
23
24
25
26
27
28
29
30
31
32
33
34
35
36
37
38
39
40
41
42
43
44
45
46
47
48
49
50
51
52
53
54
55
56
57
58
59
60
61
62
63
64
65
66
67
68
69
70
71
72
73
74
75
76
77
78
79
80
81
82
83
84
85
86
87
88
89
90
91
92
93
94
95
96
97
98
99
100
101
102
// 题解一:
class Solution {
private:
vector<int> a;
public:
bool isPalindrome(ListNode* head) {
for (ListNode* p = head;p ;p = p->next) a.push_back(p->val);

bool flag = true;
for (int l = 0,r = a.size()-1;l < r;l ++,r --){ // 注意不要写成l != r,偶数个节点时这是错的!
if (a[l] != a[r]){ flag = false;break;}
}

if (flag) return true;
else return false;
}
};
----------------------------------------------
// 题解二:关于链表的翻转参考考研算法辅导课---重排链表,参考自y总视频
class Solution {
public:
bool isPalindrome(ListNode* head) {
int n = 0;
for (auto p = head ;p ;p = p->next) n ++; // 计算节点个数
if (n <= 1) return true;

auto a = head; // 编号0~n/2 - 1放在左侧链表
for (int i = 0;i < n/2 - 1;i ++){
a = a->next;
}

auto t = a->next;// 编号n/2 - 1作为右侧链表的最后一个节点
auto b = t->next;
a->next = t->next = nullptr;
while (b){ // 翻转链表
auto c = b->next;
b->next = t;
t = b,b = c;
}

auto x = t;auto y = head;
bool flag = true; // 双指针判断回文
for (int i = 0;i < n/2;i ++){
if (x->val != y->val){
flag = false;break;
}
x = x->next,y = y->next;
}
// 恢复链表,只考虑算法题可以不加,工程上最后恢复原状
auto tail = t;
auto p = tail->next;
tail->next = nullptr;
while (p){
auto c = p->next;
p->next = tail;
tail = p,p = c;
}
a->next = tail;

if (flag) return true;
else return false;
}
};
----------------------------------------------
// 题解三:快慢指针
class Solution {
public:
bool isPalindrome(ListNode* head) {
ListNode* prev = NULL;
auto fast = head; // 快指针一次走两步,慢指针一次走一步
auto slow = head; // 当快指针走到尾时慢指针走到中间位置(偶数个时偏右边)
while (fast != NULL && fast->next != NULL){
fast = fast->next->next;
ListNode *temp = slow->next;
slow->next = prev; // 翻转前半链表
prev = slow;
slow = temp;
}

// 当有奇数个节点时,slow在中间位置,再向右走一步使得两边长度一样
ListNode *prepre = slow; // 方便还原时把链表接上
if (fast != NULL) slow = slow->next;

auto p = prev;auto q = slow;
// for (auto x = prev;x;x = x->next) cout << x->val << ' ';
// for (auto x = slow;x;x = x->next) cout << x->val << ' ';
bool flag = true;
while (p != NULL){
if (p->val != q->val){
flag = false;break;
}
q = q->next;
ListNode *temp = p->next;
p->next = prepre; // 恢复链表
prepre = p;
p = temp;
}

// for (auto p = head;p;p = p->next) cout << p->val << ' ';
return flag;
}
};

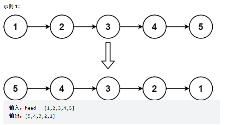
T3—-206. 反转链表

给你单链表的头节点 head ,请你反转链表,并返回反转后的链表。

image-20220221174736792

简单题,遍历链表,每次改变一个指针的指向,然后移动一个位置。

1
2
3
4
5
6
7
8
9
10
11
12
13
14
15
16
17
18
19
20
21
22
23
24
25
26
27
/**
* Definition for singly-linked list.
* struct ListNode {
* int val;
* ListNode *next;
* ListNode() : val(0), next(nullptr) {}
* ListNode(int x) : val(x), next(nullptr) {}
* ListNode(int x, ListNode *next) : val(x), next(next) {}
* };
*/
class Solution {
public:
ListNode* reverseList(ListNode* head) {
if (!head || !head->next) return head;

ListNode *p = head, *q = head->next;
head->next = nullptr;
while (q){
auto temp = q->next;
q->next = p;

p = q;
q = temp;
}
return p;
}
};

T4—-24. 两两交换链表中的节点

给你一个链表,两两交换其中相邻的节点,并返回交换后链表的头节点。你必须在不修改节点内部的值的情况下完成本题(即,只能进行节点交换)。

image-20220221182315464

读题:只有成对的节点才交换顺序,如果剩下一个不成对的节点则不交换。

参考题解

题解一:递归写法。

1
2
3
4
5
6
7
8
9
10
11
12
13
14
15
16
17
18
19
20
21
/**
* Definition for singly-linked list.
* struct ListNode {
* int val;
* ListNode *next;
* ListNode() : val(0), next(nullptr) {}
* ListNode(int x) : val(x), next(nullptr) {}
* ListNode(int x, ListNode *next) : val(x), next(next) {}
* };
*/
class Solution {
public:
ListNode* swapPairs(ListNode* head) {
if (!head || !head->next) return head;

auto Next = head->next;
head->next = swapPairs(Next->next);
Next->next = head;
return Next;
}
};

题解二:迭代写法。

head前面增加一个虚拟节点方便操作。

1
2
3
4
5
6
7
8
9
10
11
12
13
14
15
16
17
18
19
20
21
22
23
24
25
26
27
28
29
/**
* Definition for singly-linked list.
* struct ListNode {
* int val;
* ListNode *next;
* ListNode() : val(0), next(nullptr) {}
* ListNode(int x) : val(x), next(nullptr) {}
* ListNode(int x, ListNode *next) : val(x), next(next) {}
* };
*/
class Solution {
public:
ListNode* swapPairs(ListNode* head) {
if (!head || !head->next) return head;

ListNode *dummy = new ListNode(0); // 如果不加虚拟节点需要特判第一次交换
dummy->next = head;
auto p = dummy;
while (p->next && p->next->next){
auto node1 = p->next,node2 = p->next->next;
p->next = node2;
node1->next = node2->next;
node2->next = node1;

p = node1;
}
return dummy->next;
}
};

T4—-24. 两两交换链表中的节点

坚持原创技术分享,您的支持将鼓励我继续创作!