蓝桥杯学习总结(七)

1.7 acwing.1227. 分巧克力(蓝桥杯省赛C++A/B组)

1
2
3
4
5
6
7
8
9
10
11
12
13
14
15
16
17
18
19
20
21
22
23
24
25
26
27
儿童节那天有 K 位小朋友到小明家做客。
小明拿出了珍藏的巧克力招待小朋友们。
小明一共有 N 块巧克力,其中第 i 块是 Hi×Wi 的方格组成的长方形。
为了公平起见,小明需要从这 N 块巧克力中切出 K 块巧克力分给小朋友们。
切出的巧克力需要满足:
形状是正方形,边长是整数
大小相同
例如一块 6×5 的巧克力可以切出 62×2 的巧克力或者 23×3 的巧克力。
当然小朋友们都希望得到的巧克力尽可能大,你能帮小明计算出最大的边长是多少么?

输入格式
第一行包含两个整数 N 和 K。
以下 N 行每行包含两个整数 Hi 和 Wi。
输入保证每位小朋友至少能获得一块 1×1 的巧克力。

输出格式
输出切出的正方形巧克力最大可能的边长。

数据范围
1≤N,K≤105,
1≤Hi,Wi≤105
输入样例:
2 10
6 5
5 6
输出样例:
2

y总思路:

image-20210421181429479

image-20210421225102950

时间复杂度:求f(mid)是O(N),二分是O(logH),总的是O(N*logH),也就是10^5*log10^5.

1
2
3
4
5
6
7
8
9
10
11
12
13
14
15
16
17
18
19
20
21
22
23
24
25
26
27
// y总题解
#include <cstdio>
#include <algorithm>
using namespace std;
const int N = 100000;
int n,k;
int h[N],w[N];
bool check(int mid){
int res = 0;
for (int i = 0;i < n;i++){
res += (h[i]/mid)*(w[i]/mid); // res求边长为mid时的块数,h[i]/mid下取整
if (res >= k) return true;
}
return false;
}
int main(){
scanf("%d%d",&n,&k);
for (int i = 0;i < n;i++) scanf("%d%d",&h[i],&w[i]);
int l = 1,r = 1e5;
while (l < r){
int mid = (l+r+1) >> 1;
if (check(mid)) l = mid;
else r = mid - 1;
}
printf("%d\n",r);
return 0;
}

详细题解思路请参考:https://www.acwing.com/solution/content/6883/

2.前缀和

2.1 acwing.795. 前缀和(模板题)

1
2
3
4
5
6
7
8
9
10
11
12
13
14
15
16
17
18
19
20
21
22
23
24
25
26
输入一个长度为 n 的整数序列。
接下来再输入 m 个询问,每个询问输入一对 l,r。
对于每个询问,输出原序列中从第 l 个数到第 r 个数的和。

输入格式
第一行包含两个整数 n 和 m。
第二行包含 n 个整数,表示整数数列。
接下来 m 行,每行包含两个整数 l 和 r,表示一个询问的区间范围。

输出格式
共 m 行,每行输出一个询问的结果。

数据范围
1≤l≤r≤n,
1≤n,m≤100000,
1000≤数列中元素的值≤1000
输入样例:
5 3
2 1 3 6 4
1 2
1 3
2 4
输出样例:
3
6
10

image-20210423220147521

image-20210423220250988

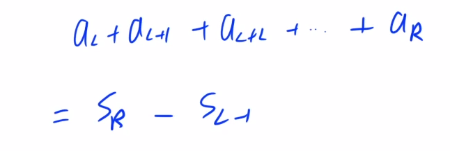
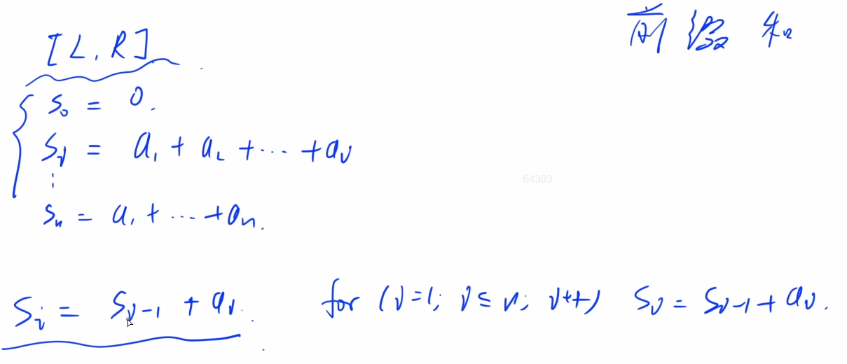
预处理计算完$S_i$之后,查询L到R的和的时间复杂度就从O(n)降低到O(1)。

暴力做法的话每次查询都得遍历数组,时间复杂度为O(n)。

前缀和思想虽然很简单,但是非常的重要

前缀和能快速查询,但不支持修改。

关于前缀和的问题,为了防止-1下标越界,统一从1开始。

1
2
3
4
5
6
7
8
9
10
11
12
13
14
15
16
17
18
19
20
21
22
23
// y总题解
#include <cstdio>
#include <algorithm>
using namespace std;
const int N = 100010;
int n,m;
int a[N],s[N];// 表示原数组和前缀和数组

int main()
{
scanf("%d%d",&n,&m);
// i从1开始,不然i-1越界
for (int i = 1;i <= n;i++){
scanf("%d",&a[i]);
s[i] = s[i-1] + a[i];
}
while (m--){
int l,r;
scanf("%d%d",&l,&r);
printf("%d\n",s[r]-s[l-1]);
}
return 0;
}
坚持原创技术分享,您的支持将鼓励我继续创作!