1.5 acwing.1223. 最大比例
第七届蓝桥杯省赛C++A/B组
1 2 3 4 5 6 7 8 9 10 11 12 13 14 15 16 17 18 19 20 21 22 23 24 25 26 27 28 29 30 31 32 33 34 35
| X星球的某个大奖赛设了 M 级奖励。 每个级别的奖金是一个正整数。 并且,相邻的两个级别间的比例是个固定值。 也就是说:所有级别的奖金数构成了一个等比数列。 比如:16,24,36,54,其等比值为:3/2。 现在,我们随机调查了一些获奖者的奖金数。 请你据此推算可能的最大的等比值。
输入格式 第一行为数字 N ,表示接下的一行包含 N 个正整数。 第二行 N 个正整数 Xi,用空格分开,每个整数表示调查到的某人的奖金数额。
输出格式 一个形如 A/B 的分数,要求 A、B 互质,表示可能的最大比例系数。
数据范围 0<N<100 0<Xi<10^12 数据保证一定有解。
输入样例1: 3 1250 200 32 输出样例1: 25/4 输入样例2: 4 3125 32 32 200 输出样例2: 5/2 输入样例3: 3 549755813888 524288 2 输出样例3: 4/1
|
思路:
与等差数列那题有类似之处。
辗转相减法:也称为更相减损术,用于求两数的最大公约数。数学表达:(a,b) = (b,a-b)
基本原理是:大数减小数,直到两数相等时,即为最大公约数。
这个原理很容易理解,也很好证明。
辗转相除法的时间复杂度是O(logn),而辗转相减法的时间复杂度是O(n),当数据量达到10^9这种级别时,差
距很大,后者用到的情况很少。

我们要求最大的公比,也就是要保证k的取值最大,所以k是$\alpha_1,\alpha_2,…,\alpha_{N-1}$的最大公约数。
所以问题就是:给定两个数$p^x$和$p^y$,如何求出$f(p^x,p^y)=p^{(x,y)}$。
利用辗转相减法,$p^{(x,y)}=p^{(y,y-x)}=f(p^y,p^{y-x})=f(p^y,\frac {p^y} {p^x})$,就转化成了一个递归问题。
1 2 3 4 5 6 7 8 9 10 11 12 13 14 15 16 17 18 19 20 21 22 23 24 25 26 27 28 29 30 31 32 33 34 35 36 37 38 39 40 41 42 43 44
| #include <iostream> #include <cstdio> #include <algorithm> using namespace std; typedef long long LL; const int N = 110;
LL x[N],a[N],b[N]; int n;
LL gcd(LL a,LL b){ return b ? gcd(b,a%b):a; }
LL gcd_sub(LL a,LL b){ if (a < b) swap(a,b); if (b == 1) return a; return gcd_sub(b,a/b); }
int main(){ cin >> n; for (int i = 0;i < n;i++) cin >> x[i]; sort(x,x+n);
int cnt = 0; for (int i = 1;i < n;i++){ if (x[i] != x[i-1]){ LL d = gcd(x[i],x[0]); a[cnt] = x[i]/d; b[cnt] = x[0]/d; cnt++; } }
LL up = a[0],down = b[0]; for (int i = 1;i < cnt;i++){ up = gcd_sub(up,a[i]); down = gcd_sub(down,b[i]); } cout << up << '/' << down << endl; return 0; }
|
1.6 acwing.1301. C 循环
《信息学奥赛一本通》 , POJ
1 2 3 4 5 6 7 8 9 10 11 12 13 14 15 16 17 18 19 20 21 22 23 24 25 26 27 28
| 对于 C 语言的循环语句,形如: for (variable = A; variable != B; variable += C) statement; 请问在 k 位存储系统中循环几次才会结束。 若在有限次内结束,则输出循环次数。否则输出死循环。
输入格式 多组数据,每组数据一行四个整数 A,B,C,k。 读入以 0 0 0 0 结束。
输出格式 若在有限次内结束,则输出循环次数。 否则输出 FOREVER。
数据范围 1≤k≤32, 0≤A,B,C<^2k 输入样例: 3 3 2 16 3 7 2 16 7 3 2 16 3 4 2 16 0 0 0 0 输出样例: 0 2 32766 FOREVER
|
思路:类似五指山那题。
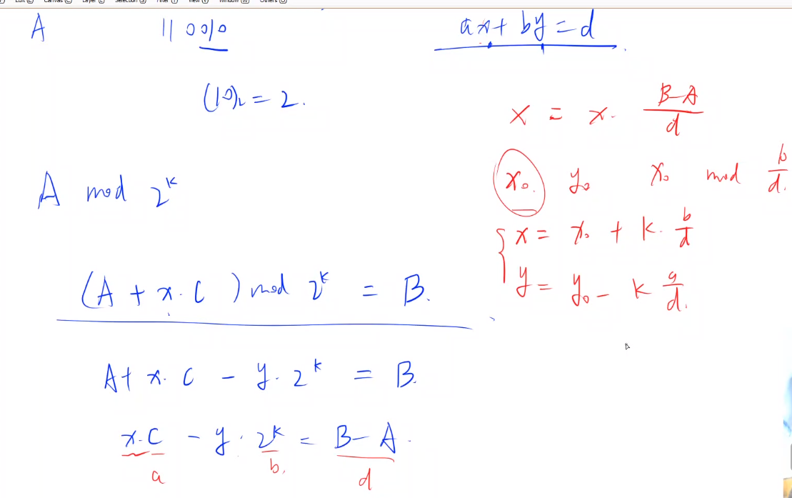
k位系统指的是对于一个数A只能存储k个二进制位,也就是A mod 2^k的结果。
比如110010,对于3位系统只能存下后三位(010)2 = (2)10。
所以退出循环的条件就是:(A + xC) mod 2^k = B,求x的最小值。
转化为:xC - y*2^k = B - A。
再利用扩展欧几里得算法求解方程ax+by = c的方式来解上面的方程。

当(a,b)|B-A时,有解,否则无解。
1 2 3 4 5 6 7 8 9 10 11 12 13 14 15 16 17 18 19 20 21 22 23 24 25 26 27 28 29
| #include <algorithm> #include <iostream> using namespace std;
typedef long long LL;
LL exGcd(LL a,LL b,LL &x,LL &y){ if (b==0){ x = 1,y = 0; return a; } LL d = exGcd(b,a%b,y,x); y -= a/b*x; return d; } int main(){ LL a,b,c,k; while(cin >> a >> b >> c >> k,a || b || c || k){ LL z = 1ll << k,x,y; LL d = exGcd(c,z,x,y); if ((b-a) % d) puts("FOREVER"); else{ x *= (b-a)/d; z /= d; cout << (x%z+z)%z << endl; } } return 0; }
|
