蓝桥杯学习总结(二二)

六 贪心

贪心问题没有普遍统一的模板,跳跃性很强,结论证明往往很难。

做法:1.找以往做过的相似的题目 2.不会的只能靠猜了

贪心是求解一类最优化问题的方法,考虑当前状态下局部最优的策略,来使全局结果达到最优

贪心的证明往往比贪心更难。

代码随想录:贪心专题文章,题目数量多,总结全面。LeetCode101贪心算法专题。

要证明贪心策略的正确性常会用到反证法,找一找是否有反例,还有一种就是数学归纳法。

做题时没必要非得证明出来,能AC就能成功。

1 acwing.1055. 股票买卖 II(LeetCode)

1
2
3
4
5
6
7
8
9
10
11
12
13
14
15
16
17
18
19
20
21
22
23
24
25
26
27
28
29
30
31
32
33
34
给定一个长度为 N 的数组,数组中的第 i 个数字表示一个给定股票在第 i 天的价格。
设计一个算法来计算你所能获取的最大利润。你可以尽可能地完成更多的交易(多次买卖一支股票)。
注意:你不能同时参与多笔交易(你必须在再次购买前出售掉之前的股票)。

输入格式
第一行包含整数 N,表示数组长度。
第二行包含 N 个不大于 10000 的正整数,表示完整的数组。

输出格式
输出一个整数,表示最大利润。

数据范围
1≤N≤10^5
输入样例1
6
7 1 5 3 6 4
输出样例1
7
输入样例2
5
1 2 3 4 5
输出样例2
4
输入样例3
5
7 6 4 3 1
输出样例3
0
样例解释
样例1:在第 2 天(股票价格 = 1)的时候买入,在第 3 天(股票价格 = 5)的时候卖出, 这笔交易所能获得利润 = 5-1 = 4 。随后,在第 4 天(股票价格 = 3)的时候买入,在第 5 天(股票价格 = 6)的时候卖出, 这笔交易所能获得利润 = 6-3 = 3 。共得利润 4+3 = 7

样例2:在第 1 天(股票价格 = 1)的时候买入,在第 5 天 (股票价格 = 5)的时候卖出, 这笔交易所能获得利润 = 5-1 = 4 。注意你不能在第 1 天和第 2 天接连购买股票,之后再将它们卖出。因为这样属于同时参与了多笔交易,你必须在再次购买前出售掉之前的股票。

样例3:在这种情况下, 不进行任何交易, 所以最大利润为 0

思路:

根据数据范围,时间复杂度应该控制为:O(n)或者O(n*logn)。

交易策略:对于数组的相邻两天,只要后一天比前一天价格高,就进行一次交易。

性质:任意交易天数跨度大于1的交易,必然可以分解为多个交易天数等于1的交易。

代码:

时间复杂度:O(n).

1
2
3
4
5
6
7
8
9
10
11
12
13
14
15
16
17
18
19
20
#include <cstdio>
#include <cstring>
#include <algorithm>
#include <iostream>
using namespace std;
const int N = 1e5+10;
int n;
int price[N];

int main(){
scanf("%d",&n);
for (int i = 0;i < n;i ++) scanf("%d",&price[i]);
int res = 0;
for (int i = 0;i < n-1;i++){
int dt = price[i+1] - price[i];
if (dt > 0) res += dt;
}
printf("%d\n",res);
return 0;
}

2 acwing.104. 货仓选址

《算法竞赛进阶指南》, 模板题

本题在寒假每日一题中出现过。

1
2
3
4
5
6
7
8
9
10
11
12
13
14
15
16
17
18
19
在一条数轴上有 N 家商店,它们的坐标分别为 A1∼AN。
现在需要在数轴上建立一家货仓,每天清晨,从货仓到每家商店都要运送一车商品。
为了提高效率,求把货仓建在何处,可以使得货仓到每家商店的距离之和最小。

输入格式
第一行输入整数 N。
第二行 N 个整数 A1∼AN。

输出格式
输出一个整数,表示距离之和的最小值。

数据范围
1≤N≤100000,
0≤Ai≤40000
输入样例:
4
6 2 9 1
输出样例:
12

思路:

从直觉上看,我们不妨猜货仓应该建在所有商店的中间位置。

这很容易证明,如果建在两个商店之外,距离一定比在中间大。

从2个、3个商店,手动模拟一下,很容易发现上述规律,应该建在中位数这个位置。

出题人往往根据已有的数学模型,包装成一个题目,用贪心求解。

严格数学证明:

image-20210530172414373

问题核心在于分组求绝对值之和最大值。

代码:

1
2
3
4
5
6
7
8
9
10
11
12
13
14
15
16
17
18
19
20
21
#include <cstdio>
#include <iostream>
#include <algorithm>
using namespace std;
typedef long long LL;
const int N = 100010;
int n;
int a[N];

int main(){
scanf("%d",&n);
for (int i = 0;i < n;i++) scanf("%d",&a[i]);
sort(a,a+n);

int c = a[n/2];// 求中位数
LL res = 0;// 用LL来存
for (int i = 0;i < n;i++) res += abs(a[i] - c);// 求距离
printf("%lld",res);

return 0;
}

3 acwing.122. 糖果传递(困难)

《算法竞赛进阶指南》,微软面试题 , HAOI2008,有难度

1
2
3
4
5
6
7
8
9
10
11
12
13
14
15
16
17
18
19
20
21
22
23
24
25
有 n 个小朋友坐成一圈,每人有 a[i] 个糖果。
每人只能给左右两人传递糖果。
每人每次传递一个糖果代价为 1
求使所有人获得均等糖果的最小代价。

输入格式
第一行输入一个正整数 n,表示小朋友的个数。
接下来 n 行,每行一个整数 a[i],表示第 i 个小朋友初始得到的糖果的颗数。

输出格式
输出一个整数,表示最小代价。

数据范围
1≤n≤1000000,
0≤a[i]≤2×10^9,
数据保证一定有解。

输入样例:
4
1
2
5
4
输出样例:
4

思路:数学演算

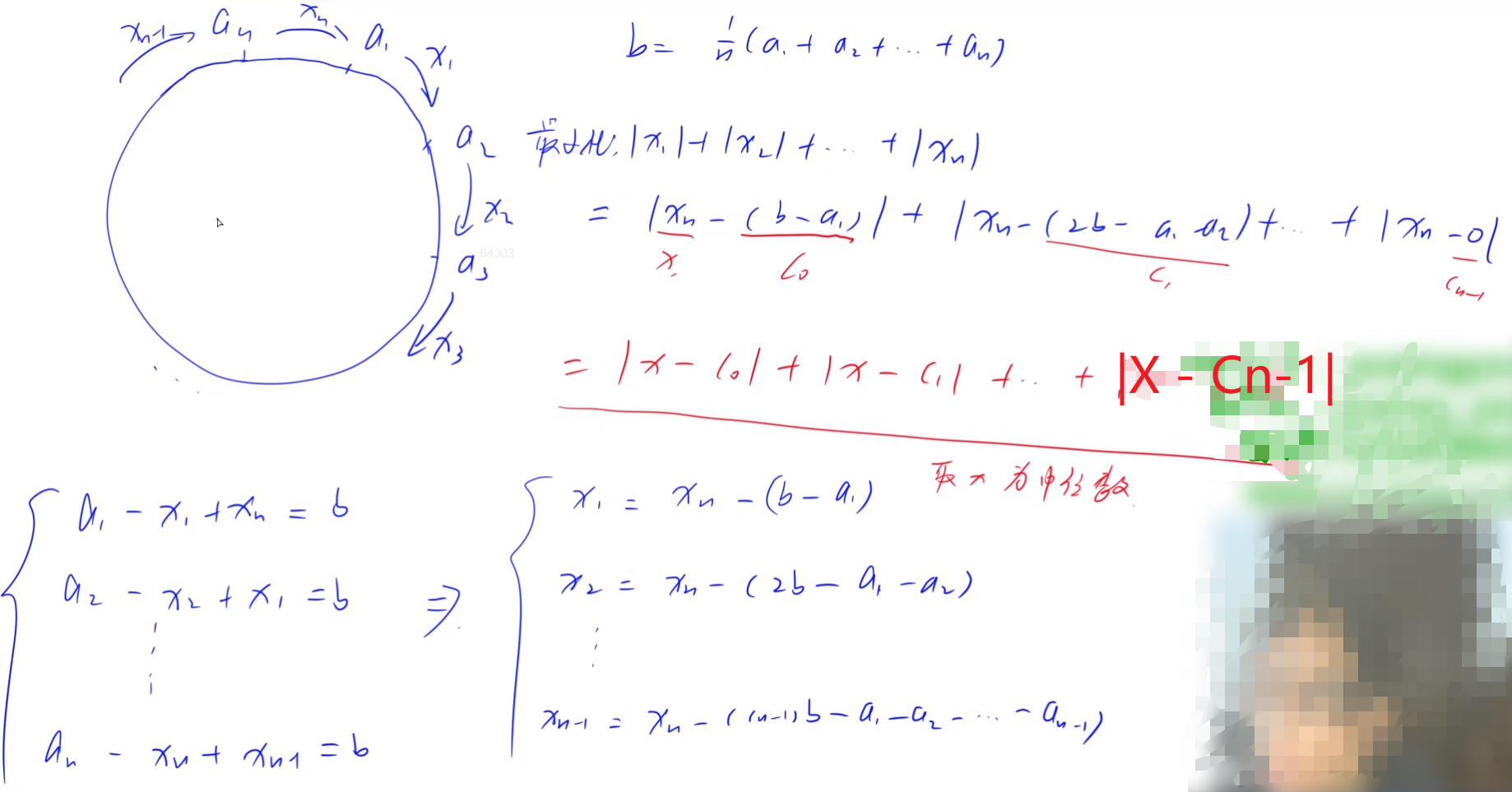
image-20210602151746775

将所有量进行数学化计算,构建数学模型,最终结果就是极小化红色标注的绝对值不等式,然后就可以直接套用上一题货仓选

址的做法。($x_1$等表示从$a_1$传递到$a_2$的糖果数量,可正可负,如果是负数表示是反向传递的)


下一步,要证明方案是否一定存在。(如果只想AC可以不看证明)

比如,当a1=3时,x3=5,方案就不成立,因为给出的糖果不可能比已有的还多。

首先可以证明:

所有$x_i(i=1,2,…,n)$同时大于0不成立。假设所有$x_i$大于0,那么可以让所有$x_i$都减去最小的$x_i$,使得每个

人得到的糖果数量是一样的效果,因为相互抵消了,这是就有部分$x_i$等于0,部分大于0,所以不成立。

同理可以证明所有$x_i(i=1,2,…,n)$同时小于0也不成立。

由上述结论可知:存在部分$x_i>=0$,部分<0。

一定存在至少一个分界点$a_m$满足左边>=0,右边<0。也就是说这个人一定往两边传递糖果。

那我们可以从分界点处把环变成一条直线。

image-20210603084728611

image-20210603085513979

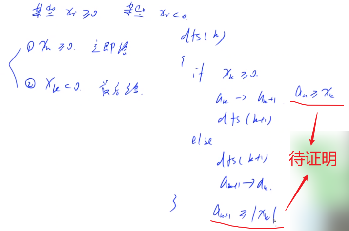
对于每一个$x_k$,分成两种情况,当$x_k>=0$时,糖果立即传递给右边;当$x_k<0$时,先不给。

我们先考虑糖果从左往右传递的情况,可以得到上上图的两个式子。

第一个式子:当$x_{k-1}>=0$时,$a_1$到$a_{k-1}$的糖果数小于(我觉得是等于)平均值。

然后再根据第二个式子,就能得到$a_k >= x_k$,得证。

从右往左传递糖果时,dfs回溯。

image-20210603093751143


以上证明实在看不懂可以略过。(不影响AC)

参考题解:https://www.acwing.com/solution/content/5531/

image-20210603094531778

代码:

1
2
3
4
5
6
7
8
9
10
11
12
13
14
15
16
17
18
19
20
21
22
23
24
25
26
27
28
29
30
31
32
33
// y总题解
#include <cstdio>
#include <cstring>
#include <algorithm>
#include <iostream>
using namespace std;
typedef long long LL;
const int N = 1000010;
LL c[N];// 避免爆int都用LL存
LL s[N];
int n;
int main(){
scanf("%d",&n);
for (int i = 1;i <= n;i++){
scanf("%lld",&s[i]);
s[i] += s[i-1]; // 求前缀和
}
LL ave = s[n]/n;
int k = 0;
for (int i = 1;i < n;i++){// 注意边界,计算c[0]到c[n-2]
c[k++] = i*ave - s[i];
}
c[k++] = 0;// 再计算c[n-1]

sort(c,c+k);// 题解1,排序,O(n*logn),比题解2慢2倍左右
LL m = c[k/2];
//nth_element(c,c+k/2,c+k); 题解2,O(n),比较快
LL res = 0;
for (int i = 0;i < n;i++) res += abs(c[i] - m);// 注意边界
//for (int i = 0;i < n;i++) res += abs(c[i] - c[k/2]);
printf("%lld",res);
return 0;
}

补充:

快速选择函数nth_element(数组初位置,寻找元素,数组末位置)(STL)

也可以自己实现,利用快排

C++的STL库中的nth_element()方法,默认是求区间第k小的(划重点)。

举个栗子求第3小,对于 a[9]={4,7,6,9,1,8,2,3,5};

nth_element(a,a+2,a+9),将下标为2,也就是第3个数放在正确的位置,求的是第3小的数a[2]。(下标从零开始)

寒假每日一题入门题(一)中介绍过两种题解。

1.sort,时间复杂度:O(n*logn) 2.nth_element,时间复杂度:O(n)

坚持原创技术分享,您的支持将鼓励我继续创作!