蓝桥杯学习总结(六)

续蓝桥杯学习总结(五)。

1.5 acwing.730. 机器人跳跃问题(头条2019笔试题)

1
2
3
4
5
6
7
8
9
10
11
12
13
14
15
16
17
18
19
20
21
22
23
24
25
26
27
28
29
30
31
32
33
34
机器人正在玩一个古老的基于 DOS 的游戏。
游戏中有 N+1 座建筑——从 0 到 N 编号,从左到右排列。
编号为 0 的建筑高度为 0 个单位,编号为 i 的建筑高度为 H(i) 个单位。
起初,机器人在编号为 0 的建筑处。
每一步,它跳到下一个(右边)建筑。
假设机器人在第 k 个建筑,且它现在的能量值是 E,下一步它将跳到第 k+1 个建筑。
如果 H(k+1)>E,那么机器人就失去 H(k+1)−E 的能量值,否则它将得到 E−H(k+1) 的能量值。
游戏目标是到达第 N 个建筑,在这个过程中能量值不能为负数个单位。
现在的问题是机器人至少以多少能量值开始游戏,才可以保证成功完成游戏?

输入格式
第一行输入整数 N。
第二行是 N 个空格分隔的整数,H(1),H(2),…,H(N) 代表建筑物的高度。

输出格式
输出一个整数,表示所需的最少单位的初始能量值上取整后的结果。

数据范围
1≤N,H(i)≤105,
输入样例1
5
3 4 3 2 4
输出样例1
4
输入样例2
3
4 4 4
输出样例2
4
输入样例3
3
1 6 4
输出样例3
3

算法一:二分。

y总思路:

image-20210417113943246

题目具有二段性,假设有E满足条件,比E小的数都不满足,比E大的数都满足。这点可以简单论证一下。

image-20210417123437384

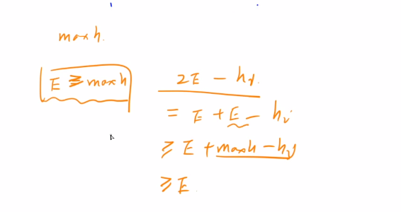
注意一个坑:如果E接近h的最大值时,E*2容易爆int(记住:int范围约是2*10$^9$.),其实我们只要判断E>=max(h),满足的话后面E肯定是递增的,就不用再判断是否大于0了。证明如下:

image-20210417124151973

1
2
3
4
5
6
7
8
9
10
11
12
13
14
15
16
17
18
19
20
21
22
23
24
25
26
27
28
// y总题解奉上
#include <iostream>
#include <cstdio>
using namespace std;
const int N = 100010;
int num[N]; // num[0]默认为0
int n;
bool check(int m){
for (int i = 1;i <= n;i ++){
m = 2*m - num[i];
if (m >= 1e5) return true; // E >= max h,提前退出
if (m < 0) return false;
}
return true; // 这里别忘了
}
int main(){
scanf("%d",&n);
// 从num[1]开始读,包括num[0]在内是n+1座建筑
for (int i = 1;i <= n;i++) scanf("%d",&num[i]);
int l = 0,r = 1e5;
while (l < r){
int mid = (l+r)/2;
if (check(mid))r = mid;
else l = mid + 1;
}
printf("%d",l);
return 0;
}

算法二:公式法。(本人原创)

设跳到第 k 座建筑后的能量为a[k],有递推关系:a[k] = 2*a[k-1] - h[k], k >= 1

必须保证a[k] >= 0, 0 <= k <= n,所以有:

a[0] >= h[1] / 2, a[1] >= h[2] / 2, ... , a[n-1] >= h[n] / 2

推导出:a[0] >= h[1] / 2 + h[2] / 2^2 + ... + h[n] / 2^n

Python3 版本:

1
2
3
4
5
6
7
8
9
10
11
12
13
14
15
16
17
18
import math as m

res = 0
n = int(input())
h = [] # h应该存储浮点数,不然答案不精确

map = input().strip().split(' ')
map = [int(x) for x in map]

for x in map:
h.append(x)

p = 2
for i in range(n):
res += h[i] / p
p *= 2

print(m.ceil(res))

C++版本:

1
2
3
4
5
6
7
8
9
10
11
12
13
14
15
16
17
18
19
20
21
#include <iostream>
#include <cmath>
using namespace std;
const int N = 1e5+5;
double h[N];

int main(){
int n;
double res = 0;
cin >> n;

for (int i = 1;i <= n;i ++) cin >> h[i];

double p = 2;
for (int i = 1;i <= n;i ++){
res += h[i]/p;
p *= 2;
}
cout << ceil(res);
return 0;
}

1.6 acwing.1221. 四平方和(蓝桥杯省赛C++A/B组)

类似题目:acwing.75.和为S的两个数字,语法(九)题解有暴搜与哈希表两种做法。(PS:本题不可暴搜)

1
2
3
4
5
6
7
8
9
10
11
12
13
14
15
16
17
18
19
20
21
22
23
四平方和定理,又称为拉格朗日定理:
每个正整数都可以表示为至多 4 个正整数的平方和。
如果把 0 包括进去,就正好可以表示为 4 个数的平方和。
比如:
5=0^2+0^2+1^2+2^2
7=1^2+1^2+1^2+2^2
对于一个给定的正整数,可能存在多种平方和的表示法。
要求你对 4 个数排序:
0≤a≤b≤c≤d
并对所有的可能表示法按 a,b,c,d 为联合主键升序排列,最后输出第一个表示法。

输入格式
输入一个正整数 N。

输出格式
输出4个非负整数,按从小到大排序,中间用空格分开。

数据范围
0<N<510^6
输入样例:
5
输出样例:
0 0 1 2

强行三重循环爆搜会超时的,怎么优化都过不了。Java能过,C++不行,Java时限更长。

y总思路:

image-20210417155749683

(与带分数的转换方法类似)

1、a^2+b^2+c^2+d^2=n可以转换成 c^2+d^2=n−a^2−b^2

2、通过排序数组(或哈希表)存储c^2+d^2的值

3、枚举a和b,若n−a^2−b^2在排序数组(或哈希表)中存在,则表示一定存在c和d,满足方程

哈希表由于某些原因过不了。

二分

时间复杂度:$O(n^2*logn)$,两重循环加一个二分查找

1
2
3
4
5
6
7
8
9
10
11
12
13
14
15
16
17
18
19
20
21
22
23
24
25
26
27
28
29
30
31
32
33
34
35
36
37
38
39
40
41
42
43
44
45
// y总二分题解
#include <cstdio>
#include <algorithm>
using namespace std;

const int N = 2500010; // 5*10^6的一半,后面枚举c、d
struct Sum{
int s,c,d;
// 结构体排序,重载小于号
bool operator< (const Sum& t) const
{
if (s != t.s) return s < t.s; // s、c、d按字典序排序
if (c != t.c) return c < t.c;
return d < t.d;
}
}sum[N];

int n,m;
int main(){
scanf("%d",&n);
for (int c = 0;c*c<= n;c++)
for (int d = c;c*c+d*d<= n;d++)
{
sum[m++] = {c*c+d*d,c,d};
}

sort(sum,sum+m);

for (int a = 0;a*a<= n;a++)
for(int b = a;a*a+b*b<= n;b++)
{
int t = n-a*a-b*b;
int l = 0,r = m-1;
while (l < r){
int mid = (l+r) >> 1;
if (sum[mid].s >= t) r = mid;
else l = mid + 1;
}
if (sum[l].s == t){
printf("%d %d %d %d",a,b,sum[l].c,sum[l].d);
return 0;
}
}
return 0;
}
哈希表

时间复杂度$O(n^2)$,本题超时,仅作为思路拓展!

不要轻信时间复杂度,这里二分与哈希表之间的常数不能忽略。

1
2
3
4
5
6
7
8
9
10
11
12
13
14
15
16
17
18
19
20
21
22
23
24
25
26
27
28
29
30
31
32
33
34
35
36
37
38
39
40
// y总题解
#include <cstring>
#include <iostream>
#include <algorithm>
#include <unordered_map>// 哈希表

#define x first
#define y second

using namespace std;

typedef pair<int, int> PII;// 必须放using...之后

int n, m;
unordered_map<int, PII> S;

int main()
{
cin >> n;

for (int c = 0; c * c <= n; c ++ )
for (int d = c; c * c + d * d <= n; d ++ )
{
int t = c * c + d * d;
if (S.count(t) == 0) S[t] = {c, d};
}

for (int a = 0; a * a <= n; a ++ )
for (int b = 0; a * a + b * b <= n; b ++ )
{
int t = n - a * a - b * b;
if (S.count(t))
{
printf("%d %d %d %d\n", a, b, S[t].x, S[t].y);
return 0;
}
}

return 0;
}
坚持原创技术分享,您的支持将鼓励我继续创作!