算法基础课笔记(三六)

例题:872. 最大公约数(模板题)

1
2
3
4
5
6
7
8
9
10
11
12
13
14
15
16
17
18
19
给定 n 对正整数 ai,bi,请你求出每对数的最大公约数。

输入格式
第一行包含整数 n。
接下来 n 行,每行包含一个整数对 ai,bi。

输出格式
输出共 n 行,每行输出一个整数对的最大公约数。

数据范围
1≤n≤10^5,
1≤ai,bi≤2×10^9
输入样例:
2
3 6
4 6
输出样例:
3
2

《最大公因数与最小公倍数问题》已经讲过。

经典问题,常用模板。

image-20210918162453191

证明$(a,b) = (b,a-c*b)$。

$\Rightarrow : 已知d |a,d | b;由基本运算性质,d | \;a和b的线性组合\therefore d | a - c*b,得证;$

$\Leftarrow : 已知d | b,d | a - c \star b \therefore d | a-c \star b+c \star b \Leftrightarrow d | a,得证.$

时间复杂度:$O(log n)$。

1
2
3
4
5
6
7
8
9
10
11
12
13
14
15
16
#include <iostream>
using namespace std;
int n,a,b;

int gcd(int a,int b){// 当b = 0时,0与a的最大公约数是a
return b ? gcd(b,a%b) : a;
}

int main(){
cin >> n;
while (n -- ){
cin >> a >> b;
cout << gcd(a,b) << '\n';
}
return 0;
}

7.3:欧拉函数

参考资料1: https://oi-wiki.org/math/number-theory/euler/。

参考资料2: https://zhuanlan.zhihu.com/p/35060143。(欧拉函数相关的完整数论知识)

互质也就是指gcd = 1

欧拉函数(Euler’s totient function),即$\varphi (n)$,表示的是小于等于n且和n互质的数的个数。

比如$\varphi(1)=1$,1与任何数互质(包括1自己);当n是质数时,$\varphi(n)=n-1$。

若在算术基本定理中,$N = p_1^{a_1}\star p_2^{a_2}*…\star p_k^{a_k}$,

则:$\varphi (N) = N * \displaystyle\prod_{质数p|N}1-\frac 1 p$.

蓝书的推导最为简洁,利用容斥原理,y总视频用的也是这个方法hh。

根据上面的公式,C++求解欧拉函数,只需要分解N的质因数就行。时间复杂度为:$O(\sqrt n)$。

例题:873. 欧拉函数(模板题)

1
2
3
4
5
6
7
8
9
10
11
12
13
14
15
16
17
18
19
20
21
给定 n 个正整数 ai,请你求出每个数的欧拉函数。

输入格式
第一行包含整数 n。
接下来 n 行,每行包含一个正整数 ai。

输出格式
输出共 n 行,每行输出一个正整数 ai 的欧拉函数。

数据范围
1≤n≤100,
1≤ai≤2×10^9
输入样例:
3
3
6
8
输出样例:
2
2
4

用公式计算欧拉函数,分解质因数写法,本题的时间复杂度为:$O(n*\sqrt a_i)$。

计算欧拉函数时,先做除法再做乘法,防止溢出。

1
2
3
4
5
6
7
8
9
10
11
12
13
14
15
16
17
18
19
20
#include <iostream>
using namespace std;
int n,x;

int main(){
cin >> n;
while (n -- ){
cin >> x;
int ans = x;
for (int i = 2;i <= x/i;i ++){
if (x % i == 0){
ans = ans / i * (i-1);
while (x % i == 0) x /= i;
}
}
if (x > 1) ans = ans / x * (x-1);
cout << ans << '\n';
}
return 0;
}

例题:874. 筛法求欧拉函数(模板题)

1
2
3
4
5
6
7
8
9
10
11
12
13
14
给定一个正整数 n,求 1∼n 中每个数的欧拉函数之和。

输入格式
共一行,包含一个整数 n。

输出格式
共一行,包含一个整数,表示 1∼n 中每个数的欧拉函数之和。

数据范围
1≤n≤10^6
输入样例:
6
输出样例:
12

1~n中每个数的欧拉函数,如果用公式时间复杂度为:$O(n*\sqrt n)$。

如果用线性筛法,时间复杂度将降为$O(n)$。

如果一个数p是质数,那么$\varphi(p)=p-1$,也就是是说1~p-1都与p互质。

1
2
3
4
5
6
7
8
9
10
11
12
13
14
15
16
17
18
19
20
21
22
23
24
25
26
27
28
29
30
31
32
33
34
35
#include <iostream>
typedef long long LL;
using namespace std;
const int N = 1e6+5;
int n;
int primes[N];
int phi[N];
bool st[N]; // 判重数组不能省略

LL get_eulers(int n){
LL res = 0;int cnt = 0;
phi[1] = 1;
for (int i = 2; i <= n; i ++ ){
if (!st[i]){
primes[cnt++] = i;phi[i] = i - 1;
}
for (int j = 0; primes[j] <= n/i; j ++ ){
st[i*primes[j]] = true;
if (i % primes[j] == 0){
phi[i*primes[j]] = phi[i]*primes[j];
break;
}
phi[i*primes[j]] = phi[i]*(primes[j] - 1);
}
}

for (int i = 1; i <= n; i ++ ) res += phi[i];
return res;
}

int main(){
cin >> n;
cout << get_eulers(n) << '\n';
return 0;
}

代码解释看这: https://www.acwing.com/solution/content/3952/。(分情况讨论)

质数i的欧拉函数即为phi[i] = i - 11 ~ i−1均与i互质,共i−1个。

phi[primes[j] * i]分为两种情况:

i % primes[j] == 0时:primes[j]是i的最小质因子,也是primes[j] * i的最小质因子,因此1 - 1 / primes[j]这一项在phi[i]中计算过了,只需将基数N修正为primes[j]倍,最终结果为phi[i] * primes[j]

i % primes[j] != 0:primes[j]不是i的质因子,只是primes[j] * i的最小质因子,因此不仅需要将基数N修正为primes[j]倍,还需要补上1 - 1 / primes[j]这一项,因此最终结果为phi[i] * (primes[j] - 1)

欧拉定理:

与欧拉函数紧密相关的一个定理。

若$gcd(n,m) = 1$,则 $n^{\varphi(m)} \equiv 1 (mod \;m)$。

欧拉定理与费马小定理及其相关证明请参考蓝书“0x33 同余”部分。

7.4:快速幂

《快速幂算法》详细介绍了快速幂的两种写法,常用迭代的写法。

例题:875. 快速幂(模板题)

1
2
3
4
5
6
7
8
9
10
11
12
13
14
15
16
17
18
19
20
给定 n 组 ai,bi,pi,对于每组数据,求出 a^{bi}_i mod pi 的值。

输入格式
第一行包含整数 n。
接下来 n 行,每行包含三个整数 ai,bi,pi。

输出格式
对于每组数据,输出一个结果,表示 a^{bi}_i mod pi 的值。
每个结果占一行。

数据范围
1≤n≤100000,
1≤ai,bi,pi≤2×10^9
输入样例:
2
3 2 5
4 3 9
输出样例:
4
1

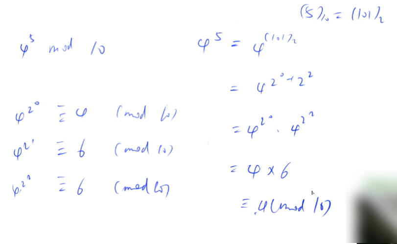
朴素做法时间复杂度是:O(b)。

快速幂做法时间复杂度是:O(log b)。

image-20210919110835285

image-20210919110903466

数论中不少题目需要用到long long

1
2
3
4
5
6
7
8
9
10
11
12
13
14
15
16
17
18
19
20
21
22
23
24
25
26
27
28
29
#include <iostream>
typedef long long LL;
using namespace std;
#define IOS \
ios::sync_with_stdio(false); \
cin.tie(0); \
cout.tie(0)
int n;

LL qmi(int a,int b,int p){
int res = 1;
while (b){
if (b & 1) res = (LL)res*a % p;
a = (LL)a*a % p;
b >>= 1;
}
return res;
}

int main(){
IOS;
cin >> n;
int a,b,p;
while (n--){
cin >> a >> b >> p;
cout << qmi(a,b,p) << '\n';
}
return 0;
}
坚持原创技术分享,您的支持将鼓励我继续创作!